サービス

プロフェッショナルでコスト削減のソリューション

サイト指向変異導入のための下流サービス

クリエイティブ酵素 包括的な提供を行います。 サイト特異的変異導入(SDM)のためのダウンストリームサービスすべてのエンジニアリングされた酵素バリアントが正確に発現し、機能的に特性評価され、構造的に検証されることを保証します。これらのサービスは、先進的な発現システム、正確な精製戦略、および堅牢な分析技術を組み合わせることにより、成功裏に変異したDNA構造体を有意義な生化学的洞察に変換します。酵素活性の検証、触媒メカニズムの探求、または構造変化の解明を目指す場合でも、Creative Enzymesは分子修飾と機能発見のギャップを埋めるための完全で信頼性の高いソリューションを提供します。

SDMのためのダウンストリームサービスの紹介

サイト指向変異導入法 酵素配列の標的修飾を可能にし、構造-機能関係を研究したり、性能を向上させたりします。しかし、変異体構造体を生成することは始まりに過ぎず、望ましい変化が意図した生化学的効果を持つことを確認するためには、包括的な下流特性評価が重要です。

信頼性の高いダウンストリームサービスは、変異が正しく発現し、機能的なタンパク質を生成し、活性、安定性、構造に関する有意義なデータを提供することを保証します。これらの変異後のステップは、エンジニアリングの成果を検証し、メカニズムの含意を理解し、さらなる最適化を導くために重要です。

クリエイティブエンザイムズは、私たちの後にシームレスに続く統合された一連のダウンストリームサービスを提供しています。 上流コア突然変異誘発 ワークフロー、完全なエンドツーエンドを実現するための 酵素工学 信頼できるプロバイダーの下でのパイプライン。

Step-by-step site-directed mutagenesis enzyme engineering services at Creative Enzymes

SDMダウンストリームサービス

私たちの下流サービスポートフォリオは、成功した突然変異後の必要な実験的フォローアップを提供し、酵素の性能を検証し、合理的な設計決定を導くためのものです。私たちは、複数の生物学的システムおよび機能アッセイにおける部位特異的変異体の完全な特性評価を専門としています。

部位特異的変異導入変異体の発現と精製

私たちのチームは、複数の宿主にわたる組換え変異酵素の最適化された発現戦略を開発しています。大腸菌酵母、昆虫、または哺乳類システムを使用しています。私たちは、親和性、イオン交換、サイズ排除クロマトグラフィーなどの特注の精製ワークフローを採用し、生化学的または構造解析に適した高純度で機能的に活性なタンパク質を得ています。

サイト特異的変異導入のためのアッセイ
バリアント

私たちは、広範な動力学的および基質特異的アッセイを使用して、各変異体の酵素性能に関する定量的分析を提供します。これらのアッセイは、触媒効率、基質親和性、安定性、および阻害パターンを評価し、導入された変異の機能的影響を評価します。

部位特異的変異導入変異体の構造および機構的解析

生化学的評価を補完するために、円偏光二色性、示差走査熱量測定、分子モデリングなどの高度な分析技術を通じて、詳細な構造およびメカニズムの研究を提供します。より深いメカニズムの洞察を得るために、構造と観察された活性変化を相関させるための計算分析およびドッキングシミュレーションも実施しています。

サービスワークフロー

Workflow of downstream services for site-directed mutagenesis

お問い合わせ

なぜ私たちのダウンストリームサービスを選ぶのか

統合ワークフロー

変異原性から生化学的および構造的検証への完全な連続性。

包括的な特性評価

すべての変異体構造の機能的、運動的、および構造的評価。

高度な分析能力

最先端のクロマトグラフィーおよび分光法機器へのアクセス。

専門の生化学者および構造生物学者

酵素の構造と機能の関係に関する深い経験を持つ多分野のチーム。

カスタマイズ可能なプロジェクトデザイン

学術、製薬、産業研究の目的に適応可能なテーラーメイドサービス。

信頼性のある品質と文書化

すべてのステージには、再現性とコンプライアンスのためのQC検証と透明性のある報告が含まれています。

ケーススタディと実践的な洞察

ケース1:ペニシリンアシラーゼ変異体の構造的および運動的洞察

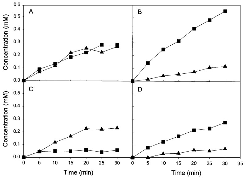
ペニシリンアシラーゼへのペニシリンの結合メカニズムは、ペニシリンGと複合体を形成した不活性なβN241A変異体のX線結晶構造解析を用いて明らかにされました。基質の結合は、ペニシリンGを受け入れるために残基αF146およびαR145の位置を再配置する構造変化を引き起こしました。構造解析により、β-ラクタム結合部位を安定化させる重要なファンデルワールス相互作用と水素結合が明らかになりました。αF146の部位特異的変異導入(Y、A、またはLへの変異)は、基質親和性と合成能力を大きく変化させました:αF146Yは合成活性を失い、対照的にαF146AおよびαF146Lは基質親和性が3〜5倍低下しましたが、ペニシリンGの合成効率は高くなりました。これらの発見は、基質認識におけるαF146の重要な役割を強調し、改善された触媒合成のための今後の酵素工学の指針となります。

Characterization of the β-lactam binding site of penicillin acylase of E. coli by structural and site-directed mutagenesis studies図1. ペニシリンG(■)の合成と、15 mMフェニルアセトアミドおよび25 mM 6-APAからのフェニル酢酸(▲)の形成。野生型およびαF146変異体による。 (A) 10 nM 野生型; (B) 100 nM αF146L; (C) 10 nM αF146Y; (D) 500 nM αF146A。 (Alkema) 他者., 2000)

ケース2:産業用糖化のための熱安定性と効率的なグルコアミラーゼの工学的設計

グルコアミラーゼはデンプンをグルコースに変換するために不可欠ですが、その低い熱安定性と触媒効率が産業用途を制限しています。この研究では、グルコアミラーゼ遺伝子を、 TlGa15B、から タラロマイセス・レイセッタヌス クローンされ、発現されました。 ピチア・パストリス最適温度65°C、pH 4.5、60°Cでの強い熱安定性を示しています。2つの改良型バリアント、 TlGa15B-GA1と TlGa15B-GA2は、二硫化結合を導入し、触媒部位から遠く離れた電荷相互作用を最適化することによって設計されました。両方の変異体は、融解温度、触媒効率、および特異的活性が向上しました。 TlGa15B-GA2は商業用酵素と同等の性能を発揮しています。分子動力学解析により、これらの改善の構造的基盤が明らかになり、産業用デンプン加水分解のために酵素性能を向上させるための実行可能な戦略が示されました。

Starch saccharification using TlGa15B-GA2 in combination with pullulanase図2. デンプン糖化効果の比較 TlGa15B-GA2と商業用グルコアミラーゼGA-LDによる60°Cでのグルコース生産。 (Tong) 他の人々., 2021)

SDMダウンストリームサービス:よくある質問

  • Q: 一つのパッケージで表現テストと活動テストの両方を実施できますか?

    はい。私たちは、発現、精製、活性アッセイを含む統合サービスパッケージを提供しており、一貫性を確保し、ワークフロー全体の時間を節約します。
  • Q: どのような発現系をサポートしていますか?

    私たちは〜と協力しています。 大腸菌酵母、昆虫、哺乳類システムを用いて、酵素の特性とプロジェクトの目標に基づいて最適な宿主を選択します。
  • Q: タンパク質の純度と同一性をどのように確認しますか?

    A: 各精製されたタンパク質は、SDS-PAGE、UV分光法、およびオプションのウェスタンブロッティングを受けます。純度は通常90%を超え、デンシトメトリック分析によって確認されます。
  • Q: 非標準酵素のためのカスタムアッセイを開発できますか?

    A: もちろんです。私たちの生化学者は、あなたの研究に関連する独自の基質や反応条件に対して、特注の活性アッセイを設計し、検証します。
  • Q: どのような構造解析技術が利用可能ですか?

    A: 私たちは、円偏光二色性(CD)、示差走査熱量測定(DSC)、動的光散乱(DLS)、および詳細な構造解析のための計算モデルを提供しています。
  • プロジェクトの成果はどのように提供されますか?

    A: クライアントは、精製された酵素サンプル、生のおよび処理されたアッセイデータ、分析グラフ、結果、解釈、および推奨事項を要約した詳細な報告書を受け取ります。
  • Q: 機密性は保証されていますか?

    A: はい。すべてのクライアントデータ、シーケンス、および結果は厳格な機密保持契約の下で保護されています。クライアントはすべての知的財産の完全な所有権を保持します。

参照:

  1. アルケマ WBL、ヘンゲンス CMH、クロイジンガ EH、 他者ペニシリンアシラーゼのβ-ラクトム結合部位の特性化 大腸菌 構造的および部位特異的変異導入研究によって。 タンパク質工学、設計および選択2000;13(12):857-863。doi:10.1093/protein/13.12.857
  2. トン・L、ジェン・J、ワン・X、 他者グルコアミラーゼの熱安定性と触媒効率の向上 タラロマイセス・レイセッタヌス JCM12802をサイト指向変異導入により、産業用糖化アプリケーションを強化する。 バイオテクノロジーとバイオ燃料2021年;14(1):202. doi:10.1186/s13068-021-02052-3

研究および産業用途にのみご使用ください。個人医療用途には適していません。一部の食品グレード製品は、食品および関連用途における処方開発に適しています。

サービス
オンラインお問い合わせ

研究および産業用途にのみご使用ください。個人医療用途には適していません。一部の食品グレード製品は、食品および関連用途における処方開発に適しています。