サービス

プロフェッショナルでコスト削減のソリューション

天然酵素基質の活性および結合アッセイ

酵素の天然基質を正確に特定するには、初期スクリーニングだけでは不十分です。基質候補を検証するためには、厳密な活性および結合アッセイが不可欠です。Creative Enzymesでは、酵素の触媒性能および結合親和性を測定するための包括的なアッセイサービスを提供しており、酵素と基質の適合性に関する決定的な証拠を提供します。先進的な手法と高感度な検出プラットフォームを用いることで、基質検証および機能的酵素研究の基盤となる信頼性の高い速度論的・機構的データをお届けします。

活性および結合アッセイが天然酵素基質の特定をどのようにサポートするか

初期スクリーニングによって潜在的な天然基質のプールが得られる場合でも、真の生理的パートナーを確認できるのは詳細な活性および結合アッセイだけです。これらのアッセイは、基質が適合するかどうかだけでなく、どれだけ効率的に処理され、酵素とどれほど強く相互作用するかも明らかにします。こうした知見は、酵素の代謝経路における役割の解明、阻害剤の設計、または産業用途向けの酵素性能の最適化において極めて重要です。しかし、基質干渉、アッセイ感度、再現性などの課題がこれらの研究を複雑にすることもあります。Creative Enzymesは、各酵素の特性に合わせて設計された堅牢で十分に検証されたアッセイシステムにより、これらの課題に対応しています。

Enzyme activity toward natural substrates as a function of substrate concentration図1. 酵素活性と基質濃度の関係。

当社のサービス内容

Creative Enzymesは、天然酵素基質の活性および結合アッセイに特化したサービスを提供しています。当社の酵素学者は、生化学的専門知識と最先端の機器を組み合わせ、正確な速度論データ、結合プロファイル、機構的知見をお届けします。分光光度法、蛍光ベース、LC-MS/MSなど複数のアッセイフォーマットを用意し、多様な酵素クラスや基質タイプに対応可能です。各プロジェクトは、代謝経路の解明、治療標的の検証、産業プロセス開発など、クライアントの研究目的に合わせてカスタマイズされます。

サービスワークフロー

Workflow of activity and binding assays for natural enzyme substrates

お問い合わせ

天然基質特定のための完全なプロセス

当社の「酵素の天然基質」サービスは、プロジェクト計画から構造検証まで、クライアントを包括的にサポートします。各ステップは、酵素の特性評価および探索において、正確性・効率性・実用的な知見を確保するために慎重に設計されています。専門モジュールをご覧いただき、基質特定をどのように効率的かつ信頼性の高いプロセスへと変革しているかをご確認ください。

Full workflow diagram for natural substrate identification in enzymatic studies

お問い合わせ

Creative Enzymesを選ぶ理由

包括的なアッセイポートフォリオ

多様なフォーマットと技術により、さまざまな酵素クラスや基質化学に柔軟に対応します。

高感度・高精度

先進的な検出システムにより干渉を最小限に抑え、複雑な生体サンプルでも正確な測定が可能です。

専門的なデータ解釈

当社の酵素学者が生データを詳細に解析し、有意義な生化学的知見へと変換します。

クライアントニーズへのカスタマイズ

アッセイ条件や手法は、学術研究から医薬品開発まで、プロジェクト固有の目標に合わせて調整されます。

幅広いサービスとの統合

スクリーニングから活性検証、複合体解析までシームレスに移行でき、探索パイプライン全体の効率を高めます。

信頼性と再現性の高い結果

厳格な品質管理により一貫性と再現性を保証し、クライアントに確かな結果を提供します。

ケーススタディおよび実際の応用例

ケース1:CSPPベースのアノテーションによる植物メタボロミクスの推進

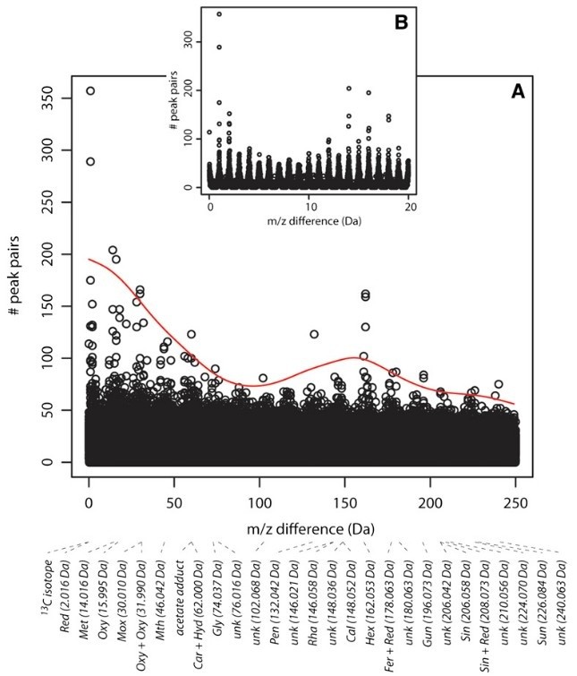
植物メタボロミクスは経路探索の強力なツールですが、特に二次代謝産物の化合物同定は大きな課題です。新規アルゴリズムは、液体クロマトグラフィー–質量分析(LC-MS)プロファイルを解析し、既知の酵素反応を反映する候補基質–生成物ペア(CSPP)を検出することで、このボトルネックを解消します。CSPPをネットワーク化することで、生合成経路の予測や、低濃度化合物も含めた構造アノテーションが可能となります。Arabidopsis thalianaに適用した結果、プロファイルされた代謝物の60%、未報告の植物化合物61種を含む同定に成功しました。MSnデータで確認され、このハイスループット戦略はシステム生物学におけるメタボロミクス応用を大幅に強化します。

Structural characterization of Arabidopsis metabolites using substrate–product pair networks図2. 特定の質量差に対するクロマトグラムピークペアの数(小数点以下3桁まで)を算出。質量差は0.001~250.000 Dの範囲で、25万通りの質量差が考慮された。(A)ピークペア数(y軸)と質量差(x軸)のマンハッタンプロット。(B)0~20 Dの質量差のマンハッタンプロット。(Morreel et al., 2014)

ケース2:阻害剤探索のための堅牢な酵素アッセイの開発

低分子阻害剤の探索には、拡張スクリーニングや最適化を支える信頼性が高くコスト効率の良いin vitroアッセイが必要です。本研究では、ウシ腸由来アルカリホスファターゼをモデルターゲットとした酵素アッセイの開発と検証を紹介します。ワークフローは試薬・バッファー・条件の最適化、ハイスループット化のための小型化・自動化、性能指標やシグナル変動による検証を含みます。さらに、用量反応および作用機序研究にも応用され、構造–活性相関解析に不可欠なデータを提供します。開発中の主な課題とその克服戦略も示し、堅牢なアッセイ設計の包括的枠組みを提案します。

Development and validation of enzymatic assay for small molecule screening and profiling図3. アッセイプレートのタンパク質結合能がAP安定性に与える影響。非処理(A, C)および非結合面(B, D)プレートにおける、指定酵素濃度(DEA μU/μL)でのAP比色アッセイの反応進行曲線。基質添加前(A, B)または酵素プレート内予備インキュベーション後(C, D)に反応を開始。非処理(E)および非結合面(F)プレートでの予備インキュベーション時間に対する初期反応速度(C, Dパネルより推定)。(Sancenon et al., 2015)

当社の活性および結合アッセイサービスに関するFAQ

  • Q: 初期スクリーニング後に活性および結合アッセイが必要なのはなぜですか?

    A: スクリーニングは潜在的な基質を特定しますが、活性および結合アッセイは適合性、触媒効率、生理的関連性を確認するために必要な定量的証拠を提供します。
  • Q: どのようなアッセイフォーマットが利用可能ですか?

    A: 分光光度法、蛍光ベース、カロリメトリック、ITC、SPR、LC-MS/MSなど幅広くご用意しており、酵素や基質の特性に応じて最適な選択が可能です。
  • Q: 十分に特徴づけられていない酵素にも対応できますか?

    A: はい。当社の柔軟なアッセイプラットフォームと専門酵素学者が、事前データの少ない新規酵素にも対応し、信頼性の高い結果を提供します。
  • Q: 結果の再現性はどの程度ですか?

    A: 厳格な品質管理を徹底し、主要測定を繰り返すことで、異なる条件やサンプルタイプ間でも再現性を確保しています。
  • Q: サービスの一環として速度論パラメータも提供されますか?

    A: はい。KM、Vmaxkcat、結合親和性などのパラメータを算出し、専門的な解釈を加えた包括的なレポートとしてご提供します。
  • Q: このサービスは基質特定プロセス全体とどのように連携していますか?

    A: 活性および結合アッセイは、初期スクリーニングと構造複合体解析の橋渡しとして機能し、完全な基質検証に向けてシームレスな進行を実現します。

参考文献:

  1. Morreel K, Saeys Y, Dima O, et al. Systematic structural characterization of metabolites in Arabidopsis via candidate substrate-product pair networks. The Plant Cell. 2014;26(3):929-945. doi:10.1105/tpc.113.122242
  2. Sancenon V, Goh WH, Sundaram A, et al. Development, validation and quantitative assessment of an enzymatic assay suitable for small molecule screening and profiling: A case-study. Biomolecular Detection and Quantification. 2015;4:1-9. doi:10.1016/j.bdq.2015.03.001

研究および産業用途にのみご使用ください。個人医療用途には適していません。一部の食品グレード製品は、食品および関連用途における処方開発に適しています。

サービス
オンラインお問い合わせ

研究および産業用途にのみご使用ください。個人医療用途には適していません。一部の食品グレード製品は、食品および関連用途における処方開発に適しています。