リソース

包括的な技術情報

リゾチームの驚異:天然の抗菌パワーハウス

リゾチームは、微生物感染に対する体の防御機構において重要な役割を果たす、自然に存在する酵素です。リゾチームは自然界で最も効率的な抗菌剤の一つとされており、唾液、涙、粘液、母乳など様々な体液に含まれています。細菌性病原体に対する第一線の防御機構としての機能から、基礎および応用微生物学、さらに医薬品やバイオテクノロジー分野で注目されています。

Creative Enzymesは、高品質なリゾチームを含む酵素の世界的リーディングサプライヤーです。本記事では、リゾチームの科学的特性、その作用機序、人の健康における役割、そして治療への応用可能性について解説します。

Structure of lysozyme C.図1. リゾチームC(Gallus gallus)。

リゾチームの生化学

リゾチームはヒドロラーゼ、特にグリコシドヒドロラーゼに分類される酵素で、グリコシド結合の加水分解を触媒します。約14.5kDaの比較的小さなタンパク質で、一本のポリペプチド鎖がコンパクトに折りたたまれた構造を持ちます。1922年、ペニシリンの発見で有名なアレクサンダー・フレミングによって初めて発見されました。しかし、リゾチームは抗生物質が広く使われる以前から抗菌特性を持つことが知られていました。

この酵素は主に特定の細菌の細胞壁を分解することで作用します。細菌の細胞壁はペプチドグリカンという、短いペプチドで架橋された糖鎖からなる高分子で構成されています。リゾチームはペプチドグリカン中の糖単位間のβ-1,4-グリコシド結合を切断し、細菌の細胞壁を弱体化させ、浸透圧溶解(浸透圧の不均衡により細胞が破裂する現象)を引き起こします。これにより、リゾチームは特に厚いペプチドグリカン層を持つグラム陽性菌に対して効果的ですが、特定の条件下では一部のグラム陰性菌にも作用します。

Reaction catalyzed by lysozyme.図2. リゾチームが触媒する反応の概要。

リゾチームの供給源

リゾチームは様々な生体液に存在し、免疫防御におけるその重要な役割を示しています。主な供給源は以下の通りです。

ヒト体内だけでなく、リゾチームは動物、植物、一部の細菌など他の生物にも存在します。例えば、鶏卵白はリゾチームの最も豊富な天然供給源の一つであり、全タンパク質の約3.5%を占めます。→ 鶏卵白由来リゾチーム

The most studied lysozymes are hen egg white lysozyme and human lysozyme.図3. ヒトリゾチームとHEWLはc型リゾチームの中で最も知られ、特徴づけられています。(鶏卵白リゾチームの結晶構造:5B1F;ヒトリゾチームの結晶構造:7XF6)(Bergamo and Sava, 2024)

抗菌作用のメカニズム

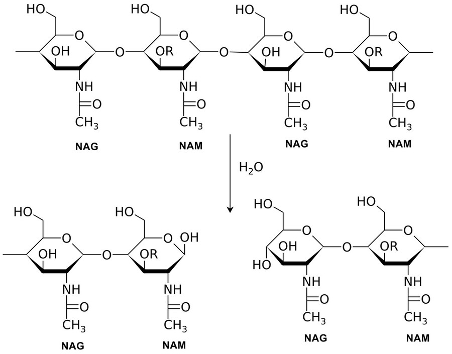
リゾチームの主な抗菌メカニズムは、細菌細胞壁のペプチドグリカン層の主要構成要素であるN-アセチルムラミン酸(NAM)とN-アセチルグルコサミン(NAG)間のβ-1,4-グリコシド結合を加水分解する能力にあります。この結合を切断することで、リゾチームは細菌細胞壁の構造的完全性を破壊し、浸透圧変化などの外的ストレスに対して細菌をより脆弱にします。これにより細胞が破裂し、特にペプチドグリカン層が厚く細胞安定性に重要なグラム陽性菌で細胞死を引き起こします。

しかし、リゾチームの作用は細胞壁の分解だけにとどまりません。さらに、以下のように細菌の挙動に影響を与える能力も持っています。

さらに、リゾチームは細菌バイオフィルムの破壊など、追加の抗菌作用モードを持つ可能性があることが一部の研究で示唆されています。バイオフィルムは細菌が保護的な細胞外マトリックスに包まれて集団を形成したもので、多くの従来型抗生物質に耐性を示します。リゾチームはバイオフィルムマトリックスの構成要素を分解できるため、嚢胞性線維症、慢性創傷、医療機器関連感染症など、バイオフィルム形成に関連する慢性感染症の治療に役立つ可能性があります。

Antibacterial mechanisms of lysozyme.図4. リゾチームはこれら2つのメカニズムで抗菌作用を示します。細菌細胞壁のペプチドグリカン(PG)骨格はNAGとNAMがペプチドステムで結合し、脂質キャリアを介して細胞膜(紫色)に固定されています。リゾチーム(黄金色)はPGのβ-1,4グリコシド結合上のNAGとNAM間の相互作用を加水分解し、細胞壁の不安定化と細菌死を引き起こします。さらに、リゾチーム(黄金色)は自身のカチオン機構を利用して負に帯電した細胞膜上に孔を形成し、殺菌を実現します。(Jiang et al., 2021)

ヒトの健康におけるリゾチームの役割

リゾチームは侵入する病原体に対する最初の防御線の一つであり、様々な体液中に存在することは、恒常性維持や感染予防におけるその重要性を示しています。以下は、ヒトの健康におけるリゾチームの主な役割です。

Roles of lysozyme: anti-inflammatory, antibacterial, and antioxidant.図5. リゾチームの多様な役割。(Zhang et al., 2024より改変)

リゾチームの臨床・医薬品応用

強力な抗菌特性を持つことから、リゾチームは臨床や医薬品分野で幅広く応用されています。主な用途は以下の通りです。

おすすめ製品

カタログ 製品名 由来 価格
NATE-0433 Native Human Lysozyme ヒト好中球 お問い合わせ
CEFX-025 Human Sputum Lysozyme (Sterilized) 敗血症ヒト喀痰中の白血球
NATE-0432 Lysozyme (Food Grade) 鶏卵白
NATE-0434 Lysozyme from Human, Recombinant
NATE-4728 Lysozyme from Chicken Egg White 鶏卵白
NATE-4728-1 Lysozyme from Chicken Egg White (Free of DNA Contaminants) 鶏卵白
NATE-1455 Lysozyme 23A from Bacillus subtilis, Recombinant E. coli
NATE-1456 Lysozyme 25A from Streptococcus pneumoniae, Recombinant E. coli
EXWM-3852 Lysozyme /

まとめると、リゾチームは細菌感染に対する体の防御に不可欠な、優れた天然抗菌酵素です。細菌細胞壁を標的として分解する能力と、様々な体液中に存在することから、その健康維持における重要性が強調されます。ヒトの唾液や涙への自然な存在から、食品保存や創傷ケアへの応用まで、リゾチームは多くの利点をもたらします。

抗菌薬耐性が増加し続ける中、リゾチームを従来の抗生物質の代替として探求することは大きな可能性を秘めています。完全な可能性を引き出すには課題も残りますが、リゾチームベースの治療法の未来は明るく、細菌感染症と戦うための自然で持続可能な解決策を提供します。

Creative Enzymesでは、純度・一貫性・性能に優れた高品質なリゾチーム製品を提供しています。研究用途でも応用用途でも、当社のリゾチームは細菌感染症対策における革新的かつ自然由来のソリューションをサポートします。お問い合わせはお気軽にどうぞ。私たちがサポートいたします。

参考文献:

  1. Bergamo A, Sava G. Lysozyme: a natural product with multiple and useful antiviral properties. Molecules. 2024;29(3):652. doi:10.3390/molecules29030652
  2. Jiang L, Li Y, Wang L, et al. Recent insights into the prognostic and therapeutic applications of lysozymes. Front Pharmacol. 2021;12:767642. doi:10.3389/fphar.2021.767642
  3. Zhang Q, Zhao Y, Yao Y, et al. Characteristics of hen egg white lysozyme, strategies to break through antibacterial limitation, and its application in food preservation: A review. Food Research International. 2024;181:114114. doi:10.1016/j.foodres.2024.114114