製品

研究、診断および産業用の酵素

リジンオキシダーゼ

公式フルネーム
リジンオキシダーゼ
背景
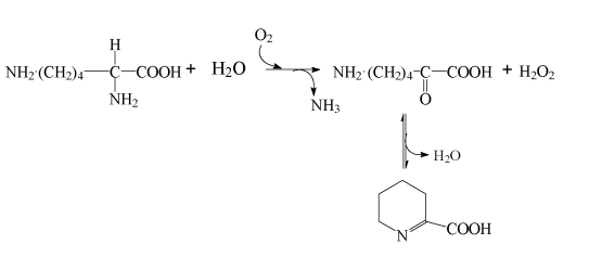
酵素学において、L-リジンオキシダーゼ(EC 1.4.3.14)は、次の化学反応を触媒する酵素です:L-リジン + O2 + H2O ↔ 6-アミノ-2-オキソヘキサノエート + NH3 + H2O2。この酵素の3つの基質はL-リジン、O2、およびH2Oであり、3つの生成物は6-アミノ-2-オキソヘキサノエート、NH3、およびH2O2です。この酵素は酸化還元酵素のファミリーに属し、特に酸素を受容体とするドナーのCH-NH2基に作用するものです。この酵素はリジンの分解に関与しています。
同義語
L-リジンα-オキシダーゼ; L-リジル-α-オキシダーゼ; L-リジンオキシダーゼ; EC 1.4.3.14; 70132-14-8
カタログ 製品名 EC番号 CAS番号 ソース 価格
EXWM-1470 L-リジンオキシダーゼ EC 1.4.3.14 70132-14-8 お問い合わせ
NATE-0426 ネイティブ トリコデルマ・ビリデ リジンオキシダーゼ EC 1.4.3.14 70132-14-8 トリコデル... お問い合わせ
製品
オンラインお問い合わせ

研究および産業用途にのみご使用ください。個人医療用途には適していません。一部の食品グレード製品は、食品および関連用途における処方開発に適しています。