リソース

包括的な技術情報

リゾチームの分子の驚異:構造と重要性

リゾチームN-アセチルムラミダーゼまたはムラミダーゼとも呼ばれる)は、構造的および機構的に極めて重要な抗菌酵素の代表的な例です。アレクサンダー・フレミングは1921年にリゾチームを発見し、1960年代半ばにX線結晶構造解析によって初めて特徴づけられました(Phillips, 1965)。リゾチームは、X線回折法によって三次元構造が解明された最初の酵素です。その構造、触媒機構、安定性により、リゾチームは酵素学および構造生物学における標準的なモデルとなっています。

Creative Enzymesでは、さまざまな用途に合わせた高品質なリゾチーム製品を幅広く提供しています。本記事では、リゾチームの分子構造とその重要性について詳しくご紹介します。

一次構造と三次構造

一次配列とジスルフィド構造

最も広く研究されている鶏卵白リゾチーム(HEWL)は、129個のアミノ酸からなり、分子量は約14.3 kDaです。6つのトリプトファン(Trp)、3つのチロシン(Tyr)、3つのフェニルアラニン(Phe)残基を含みます。4つのジスルフィド結合(Cys6-Cys127、Cys30-Cys115、Cys64-Cys80、Cys76-Cys94)が、コンパクトで剛直な三次構造を維持しています。

フォールド構造

リゾチームは、2つのドメインからなるコンパクトな球状フォールドをとります。

これらのドメインは、ペプチドグリカン鎖を収容する深い触媒クレフトを形成し、6つの糖結合サブサイト(A-F)が並んでいます。酵素は非常にカチオン性(HEWLの等電点は約11.3)であり、生理的pH下で細菌表面への強い静電的引力を促進します。

Primary sequence and fold architecture of lysozyme.図1. アンフォールド状態のリゾチームとフォールド状態のリゾチーム。(Dilip et al., 2022)

触媒機構

リゾチームの抗菌機能の核心は、細菌細胞壁ペプチドグリカン内のグリコシド結合を加水分解する能力にあります。特に、リゾチームはN-アセチルムラミン酸(NAM)N-アセチルグルコサミン(NAG)間のβ-1,4グリコシド結合を標的とし、これは細菌細胞壁の完全性に不可欠な繰り返し糖単位です。この結合を切断することで、リゾチームは細菌細胞壁の構造的安定性を損ない、最終的に細胞溶解を引き起こします。この活性は、多くの生物における自然免疫の防御機能にとって不可欠です。

主要な活性部位残基

リゾチームの酵素活性は、活性部位内の2つの重要な触媒残基、グルタミン酸35(Glu35)アスパラギン酸52(Asp52)によって媒介されます。Glu35は一般的な酸として働き、結合切断時に離脱基の脱離を促進するためにプロトンを供与します。Asp52は求核剤として機能し、オキソカルベニウムイオン様遷移状態を安定化させるか、一時的な共有結合中間体を形成します。基質はAからFまでの6つの明確なサブサイトにまたがって結合し、NAM部分は通常サブサイトB、NAG部分はサブサイトAに結合します。この配向により、切断される結合が正確に触媒攻撃の位置に整列します。

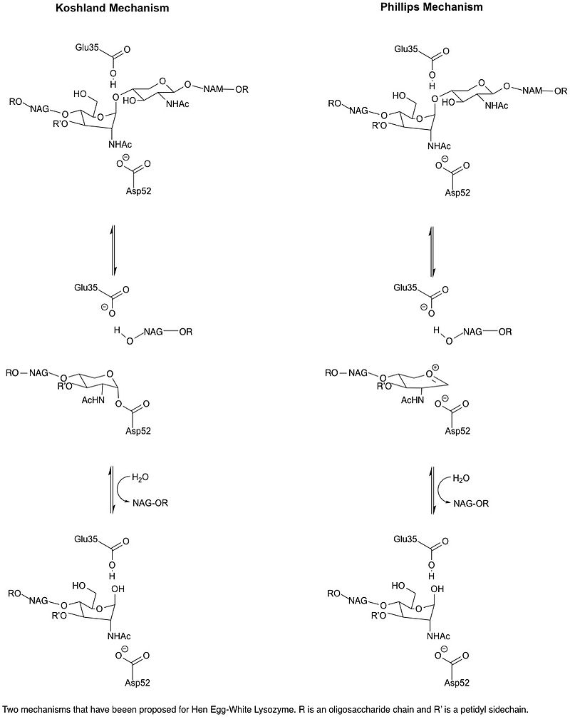
反応経路

リゾチームには、Koshland機構Phillips機構という2つの広く議論されている提案機構があります。

Koshland機構は保持型の二重置換経路を提案します。このモデルでは、Glu35がプロトン供与体としてグリコシド結合の切断を促進し、Asp52がアノマー炭素への求核攻撃を行い、共有結合型グリコシル酵素中間体を形成します。その後、水分子がこの中間体を加水分解し、酵素を元に戻し、糖の立体配置を保持します。

対照的に、Phillips機構は一段階のSN1様プロセスを提案します。ここでは、グリコシド結合が切断され、オキソカルベニウムイオン様遷移状態が生成されます。Asp52がこの正電荷を安定化させ、Glu35が結合切断を助けるためにプロトンを供与します。その後、水分子が求核剤として反応を完了させます。

両機構ともリゾチームの触媒機能への洞察を与えますが、共有結合中間体の検出などの実験的証拠は、Koshland機構をより強く支持しています。

Two possible mechanisms of lysozyme: the Koshland mechanism and the Phillips mechanism.図2. リゾチームの2つの可能な機構。

基質認識

リゾチームによる効果的な触媒作用は、活性部位の化学だけでなく、正確な基質認識と配置にも依存します。これは、Trp62、Trp63、Asp101などの残基が関与する水素結合や疎水性スタッキングなど、複数の非共有結合的相互作用によって達成されます。これらの残基は、ペプチドグリカン鎖を活性クレフト内に固定するのに役立ちます。しかし、NAMのO-アセチル化やNAGのN-脱アセチル化など、ペプチドグリカンの化学修飾はこれらの相互作用を妨げる可能性があります。このような修飾は、Staphylococcus aureusなどの細菌がリゾチーム攻撃を回避するために利用しており、重要な耐性機構となっています。

構造多様性と進化

リゾチームファミリー

リゾチームは、さまざまな生物に広く存在する構造的・機能的に多様な酵素群です。配列相同性、構造フォールド、触媒機構に基づき、リゾチームは以下のいくつかのファミリーに分類されます。

Phylogenetic analysis of lysozymes. There are three main families: C-type, G-type, and I-type lysozymes.図3. リゾチームの系統解析。解析に用いたリゾチーム遺伝子名は、種の学名とこの特定遺伝子のGenBankアクセッション番号で示されています。Ostriniaリゾチームは赤で示されています。無脊椎動物c型、脊椎動物c型、i型、g型リゾチームに特異的な枝は、それぞれ黄色、青、緑、オレンジで塗りつぶされています。(Liu et al., 2014)

進化的保存性と分岐

分類群間での分岐があるにもかかわらず、コアとなる触媒構造、特にα/βフォールドと活性部位残基は保存されており、リゾチームが古くから自然免疫で果たしてきた役割を示しています。一方で、表面ループの配列変異は基質選択性、安定性、非標準的機能を調節します。

安定性、フォールディング、および生物物理的特性

宿主防御における機能的役割

抗菌活性

リゾチームは、主にグラム陽性菌に対する溶菌活性を発揮することで、自然免疫系において中心的な役割を果たします。これらの生物は、リゾチームの酵素活性が容易にアクセスできる厚いペプチドグリカン層を持っています。一方、グラム陰性菌は追加の外膜を持ち、ペプチドグリカン層を保護しているため、外膜が界面活性剤、抗菌ペプチド、宿主由来因子などで損傷しない限り、一般的にリゾチームに対してより耐性があります。重要なのは、リゾチームの抗菌効果は、ペプチドグリカン中のβ-1,4グリコシド結合の酵素的切断だけに依存していないことです。触媒活性が低下または阻害されても、リゾチームは負に帯電した細菌表面との静電的相互作用や、細菌自身のオートリシン(細胞壁自己消化酵素)の誘導など、代替機構によって殺菌性を維持します。

免疫調節的相互作用

リゾチームは直接的な抗菌作用に加え、免疫調節にも大きく寄与します。リゾチームによる細菌ペプチドグリカンの酵素分解により、ムロペプチドと呼ばれる小さな断片が放出されます。これらは細胞内パターン認識受容体(PRR)、特にNOD1およびNOD2(ヌクレオチド結合オリゴメリゼーションドメイン含有タンパク質)によって認識されます。これらの受容体は、炎症反応、サイトカイン産生、免疫細胞の動員を促進するシグナル伝達カスケードを開始し、感染に対する宿主防御を強化します。さらに、リゾチームは細菌抗原の処理と提示を促進することが示されており、特に粘膜組織で炎症を過度に起こさずにバランスの取れた免疫応答を調整するのに役立ちます。この免疫調節機能は、消化管や呼吸器などの環境で粘膜恒常性を維持する上で重要です。

レクチン様結合

酵素活性や免疫シグナル伝達機能を超えて、リゾチームはレクチン様挙動を示し、酵素活性がなくてもリポ多糖(LPS)や莢膜多糖などの細菌表面糖鎖に直接結合できます。この非触媒的結合は、細菌凝集を促進し、免疫認識を高め、宿主免疫細胞による貪食を促進します。このような活性は、病原体がリゾチームの触媒機能を阻害する機構を進化させた場合にも、レクチン様結合が第二の防御線となるため、特に重要です。

構造と機能の関係

まとめると、リゾチームは分子レベルの驚異であり、その控えめなサイズの酵素が持つ構造的な優雅さは、細菌壁の切断から免疫応答の調整まで多様な生物学的機能を支えています。酵素学、構造生物学、免疫学、バイオテクノロジーの分野における要石です。

Creative Enzymesでは、最高水準の研究・工業用途に対応した高品質なリゾチーム製品を提供しています。最適なリゾチームをお探しの方は、ぜひお問い合わせください

参考文献:

  1. Dilip Varma P, Deoprasad Shahu Y, Yende S, et al. A brief review on lysozyme's pharmacology and drug-carrying capacity. RJPT. Published online December 24, 2022:5886-5894. doi:10.52711/0974-360X.2022.00993
  2. Liu Y, Shen D, Zhou F, Wang G, An C. Correction: identification of immunity-related genes in Ostrinia furnacalis against entomopathogenic fungi by RNA-seq analysis. Wang XW, ed. PLoS ONE. 2014;9(1). doi:10.1371/annotation/755a38b9-ccc1-4042-baa2-1249c9da8670
  3. Wu T, Jiang Q, Wu D, et al. What is new in lysozyme research and its application in food industry? A review. Food Chemistry. 2019;274:698-709. doi:10.1016/j.foodchem.2018.09.017