リソース

包括的な技術情報

リゾチームの作用機序とその広範な応用

リゾチームは、自然界に存在する抗菌酵素であり、人間、動物、植物を含む多様な生物の自然免疫において重要な役割を果たしています。本記事では、リゾチームの酵素的メカニズム、抗菌・抗ウイルス・抗炎症・免疫調節作用について解説します。これらの特性により、リゾチームは医薬品、食品保存、獣医学、動物栄養、バイオテクノロジーなど幅広い分野で応用されています。

バイオテクノロジーの革新と品質へのこだわりを持つ専門酵素サプライヤーとして、Creative Enzymesは、食品・飼料から医薬品、パーソナルケアに至るまで、産業の進化するニーズに合わせた高純度リゾチーム製品を提供しています。

歴史的背景と構造概要

リゾチーム(EC 3.2.1.17)は、1909年にLaschtschenko、1922年にアレクサンダー・フレミングによって独立して発見されました。フレミングは、鼻分泌液や鶏卵白がMicrococcus lysodeikticusの懸濁液を溶解することを観察し、「リゾチーム」という用語を拡散性の細菌溶解因子として命名しました。1965年、David Chilton Phillipsらは鶏卵白リゾチーム(HEWL)の三次元構造を2Å分解能で解明し、5本のαヘリックスと3本の逆平行βシートを含む、約14.7kDa・129残基のコンパクトなα/βタンパク質であることを明らかにしました。酵素は腎臓型の球状構造をとり、25Åに及ぶ活性部位の溝があり、細菌ペプチドグリカン(PG)の6つの連続したN-アセチルヘキソサミン残基を収容します。

Structure of hen egg white lysozyme.図1. 鶏卵白リゾチーム(HEWL)。N末端およびC末端がラベルされています。本文で言及された芳香族残基がハイライトされています:Phe(赤)、Tyr(緑)、Trp(青)。システイン残基(黄)の間でジスルフィド結合が形成されます。Tyr53、Trp62、Trp63、Trp108は酵素の活性部位に位置します。(Mangialardo et al., 2012)

物理化学的特性と安定性

リゾチームは非常に安定しており、乾燥状態で長期保存後も活性を保持し、ペプシン消化にも耐え、pH6.0~7.0で最適に機能します。活性は約60℃まで温度上昇とともに増加しますが、65℃を超えると急激に低下します。塩酸塩型のリゾチーム塩酸塩は、水溶性と保存安定性が向上し、医薬品や食品製剤で利用されています。

基質特異性

標準的な基質は、細菌PGのグリカン主鎖に存在するN-アセチルムラミン酸(NAM)とN-アセチル-D-グルコサミン(NAG)がβ-(1→4)グリコシド結合で交互に連結したものです。リゾチームはまた、β-(1→4)結合NAG単位からなるキトデキストリンも加水分解します。

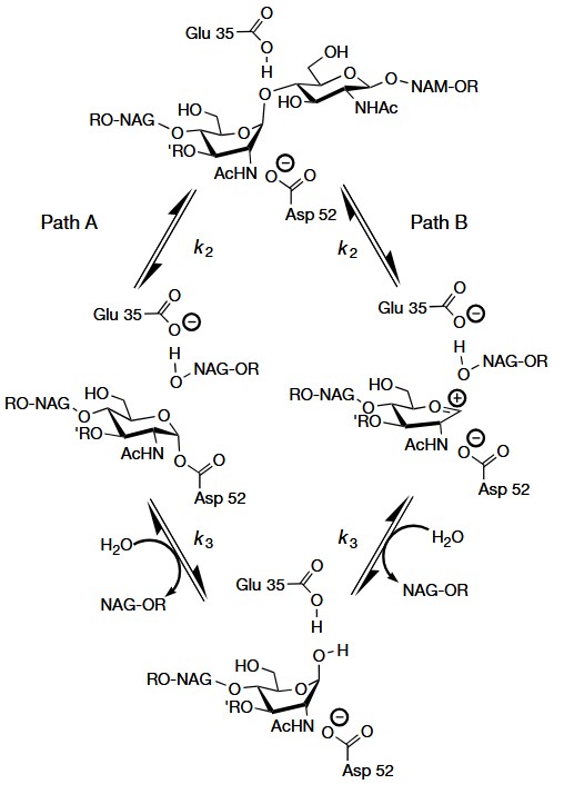
触媒機構:分子レベルでの解明

基質結合と歪曲

リゾチームはPG鎖内のヘキササッカライドモチーフを認識します。–1サブサイトのD-糖はハーフチェア型配座に強制され、これは遷移状態の幾何構造に近く、活性化エネルギー障壁を低減します。

酸–塩基触媒

2つの不変カルボキシル基が加水分解を制御します:

速度論的同位体効果研究やエレクトロスプレー質量分析により、イオン性経路と共有結合性経路の両方が支持されており、後者は修飾基質で優勢です。

Two possible catalytic mechanisms for HEWL: the Koshland mechanism and the Phillips mechanism.図2. HEWLの2つの可能な触媒機構。経路A:Koshland機構、経路B:Phillips機構。R:オリゴ糖鎖、R9:ペプチジル側鎖。(Vocadlo et al., 2001)

生成物放出と酵素回転

加水分解により短いムロペプチドが生成され、PGメッシュ構造が弱体化し、細菌の浸透圧溶解を引き起こします。

抗菌スペクトルと限界

グラム陽性菌

リゾチームは、StaphylococcusStreptococcusBacillusListeriaなどの属を含むグラム陽性菌に対して顕著な活性を示します。これらの菌は厚く多層のペプチドグリカン壁を持ち、細胞外環境に直接さらされているため、リゾチームの触媒作用を受けやすくなっています。

β(1-4)結合の酵素的切断により、細菌細胞壁の構造的完全性が損なわれ、浸透圧バランスが崩れ、最終的に細胞溶解が生じます。リゾチームの作用は、細胞壁リモデリングが活発でPGマトリックスが酵素攻撃に対して脆弱な細菌の対数増殖期に特に効果的です。

グラム陽性菌に対するリゾチームの強力な効果は、外用消毒薬、眼科用溶液、食品業界の保存料製剤への配合の根拠となっています。

グラム陰性菌

対照的に、Escherichia coliPseudomonas aeruginosaSalmonella spp.などのグラム陰性菌は、リゾチームに対して本質的に高い耐性を示します。この耐性は主に、薄いペプチドグリカン層を覆う外膜(OM)の存在によるものであり、強力なバリアとして機能します。OMはリポ多糖(LPS)、ポーリン、膜タンパク質を含み、基底のペプチドグリカンを酵素分解から保護します。

しかし、このバリアを克服し、グラム陰性菌をリゾチームに感受性にするためのいくつかの戦略が検討されています:

これらの進展にもかかわらず、グラム陰性菌に対するリゾチームの利用はより複雑であり、実質的な抗菌効果を得るには通常、併用アプローチが必要です。

Antimicrobial effect of lysozyme.図3. S. aureusおよびE. coliのSEM画像(バッファー(Tris-HCl, pH 7.2, コントロール)、HEWLフィブリル、HEWLオリゴマー、HEWL曝露6時間後)。スケールバー:2μm。(Nawaz et al., 2022)

真菌およびウイルス

主な標的ではありませんが、リゾチームはペプチドグリカン加水分解とは異なるメカニズムで限定的な抗真菌・抗ウイルス活性を示します:

これらの効果は現在も研究中であり、リゾチームの抗菌作用ほど強力ではありませんが、治療的意義を持つ新たな研究分野となっています。

非酵素的抗菌作用

リゾチームは触媒作用に加え、非酵素的な殺菌特性も示し、その抗菌レパートリーをさらに拡大しています:

広範な応用

治療・医薬品分野

リゾチームの治療的可能性は、単独または他の生理活性物質との相乗効果により、多くの領域に広がっています。

食品産業

バイオテクノロジー・分子生物学

獣医・農業用途

水産養殖および陸上畜産の両方で、リゾチームは抗生物質に頼らず微生物負荷を低減し、動物の健康と生産性をサポートします。

診断・バイオセンサー

リゾチームの特異性と触媒作用は、迅速診断技術で創造的に活用されています。

これらのセンサーは低コスト、携帯性、迅速な応答時間から、資源制約下の現場診断、アウトブレイク監視、産業品質保証に活用が広がっています。

免疫調節・抗炎症作用

リゾチームの生物学的機能は、よく知られた溶菌活性をはるかに超えています。近年、リゾチームが多面的な免疫調節因子として、自然免疫・獲得免疫の両方を調整し、炎症誘発性組織損傷からの保護に寄与することが明らかになっています。

これらの免疫機能により、リゾチームは単なる抗菌エフェクターにとどまらず、微生物認識と免疫恒常性の橋渡し役として、自己免疫疾患、慢性炎症、粘膜免疫障害の治療にも期待されています。

タンパク質工学と次世代リゾチーム

タンパク質工学の進歩により、リゾチームは機能強化・標的拡大・薬物動態改善を目指した新世代のデザイナー酵素へと進化しています。指向性進化と合理的設計の2つの主要戦略により、多様な用途に最適化されたリゾチーム変異体のライブラリが拡大しています。

これらのバイオエンジニアリング変異体は、リゾチームのカスタマイズ可能な治療足場としての多様性を体現しており、精密医療、ナノ医療、次世代抗菌療法への応用が期待されています。今後の研究により、リゾチームは自然界の酵素から、耐性微生物に対抗するオーダーメイド分子兵器へと進化する可能性があります。

推奨製品

Catalog Product Name Source Price
NATE-4728 Lysozyme from Chicken Egg White Chicken egg white Inquiry
NATE-0433 Native Human Lysozyme Human neutrophils
CEFX-025 Human Sputum Lysozyme (Sterilized) Leukocytes in septic human sputum
NATE-0432 Lysozyme (Food Grade) Chicken egg white
NATE-0434 Lysozyme from Human, Recombinant Rice
NATE-1455 Lysozyme 23A from Bacillus subtilis, Recombinant E. coli
NATE-1456 Lysozyme 25A from Streptococcus pneumoniae, Recombinant E. coli

まとめると、リゾチームは宿主防御における自然の巧妙さを体現しています。1つの小さな酵素が1つのグリコシド結合を切断するだけで、深遠かつ多面的な効果を発揮します。フレミングの研究室での歴史的発見から、現在の抗菌治療、食品保存、バイオテクノロジーの基盤としての役割に至るまで、リゾチームは革新を刺激し続けています。タンパク質工学、ナノテクノロジー、システム生物学の進展により、今後さらに幅広い応用が期待され、リゾチームは本質的な広域バイオプロテクティブ剤としての地位を強化しています。

Creative Enzymesでは、研究・治療・産業用途向けに高品質なリゾチーム製品を提供しています。その純度と性能で信頼される当社のリゾチームは、多様な分野のイノベーションを支えます。ぜひリゾチーム製品ラインナップをご覧いただき、次のブレークスルーを加速させてください。お問い合わせもお気軽にどうぞ。

参考文献:

  1. Mangialardo S, Gontrani L, Leonelli F, Caminiti R, Postorino P. Role of ionic liquids in protein refolding: native/fibrillar versus treated lysozyme. RSC Adv. 2012;2(32):12329. doi:10.1039/c2ra21593d
  2. Nawaz N, Wen S, Wang F, et al. Lysozyme and its application as antibacterial agent in food industry. Molecules. 2022;27(19):6305. doi:10.3390/molecules27196305
  3. Sarkar S, Gulati K, Mishra A, Poluri KM. Protein nanocomposites: Special inferences to lysozyme based nanomaterials. International Journal of Biological Macromolecules. 2020;151:467-482. doi:10.1016/j.ijbiomac.2020.02.179
  4. Vocadlo DJ, Davies GJ, Laine R, Withers SG. Catalysis by hen egg-white lysozyme proceeds via a covalent intermediate. Nature. 2001;412(6849):835-838. doi:10.1038/35090602