リソース

包括的な技術情報

ジアミンオキシダーゼの力:ヒスタミン代謝におけるその役割の理解

ジアミンオキシダーゼ (DAO)、別名ヒスタミナーゼは、生物由来のアミン、特にヒスタミンの代謝に関与する重要な酵素です。DAOは、特に消化管におけるヒスタミンのホメオスタシスを維持する上で重要な役割を果たします。近年、DAOはアレルギー反応、食物不耐症、炎症性疾患におけるその影響から大きな注目を集めています。主要な酵素供給者であるCreative Enzymesは、Pisum sativumおよび豚の腎臓から得られたDAOを提供しています。本記事では、ヒスタミン代謝におけるDAOの機能、調節、および臨床的関連性について掘り下げます。

ジアミンオキシダーゼの生化学

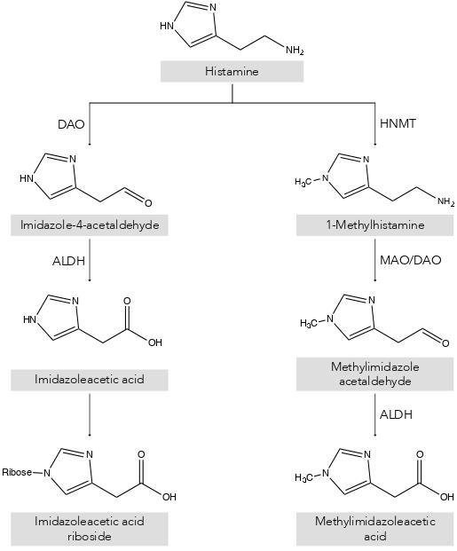
ジアミンオキシダーゼ (DAO)、またはヒスタミナーゼと呼ばれるこの酵素は、アミンオキシダーゼファミリーに属する銅依存性の酵素です。特にヒスタミンの酸化的脱アミン化において重要な役割を果たし、これはその主要な生理的基質の一つです。この酵素反応は、以下の反応を通じてイミダゾールアセトアルデヒド、アンモニア (NH3)、および過酸化水素 (H2O2) の形成をもたらします:

R-CH2-NH2 + H2O + O2 → R-CHO + NH3 + H2O2

この生化学的変換は、特に消化管のような外因性のヒスタミン源にさらされる組織において重要な解毒メカニズムとして機能します。DAOは、ヒスタミンが全身循環に吸収される前にその不活化を促進し、潜在的なヒスタミン媒介の有害な影響を防ぎます。

DAOは主に小腸、腎臓、胎盤で発現し、腸の上皮細胞が合成の主要な場所を示します。特に、DAOは細胞外区画でその活性を発揮し、ヒスタミンをメチル化によって不活化する細胞内酵素であるヒスタミン-N-メチルトランスフェラーゼ (HNMT)とは異なります。HNMTは、S-アデノシルメチオニン (SAM) をメチル供与体として使用してヒスタミンのメチル化を触媒します。生成物であるN-メチルヒスタミンは、モノアミンオキシダーゼ (MAO)によってさらに代謝され、N-メチルイミダゾールアセトアルデヒドが生成され、次にN-メチルイミダゾール酢酸に変換されます。HNMTは主に肝臓で発現し、脳における主要なヒスタミン分解経路です。この経路はまた、SAMの可用性やポリアミン、葉酸、メチオニンのリサイクルの合成とも関連しています。

ヒスタミン代謝経路:一つはジアミンオキシダーゼを介し、もう一つはヒスタミンN-メチルトランスフェラーゼを介る。図1. ヒトにおけるヒスタミン代謝。DAO:ジアミンオキシダーゼ;HNMT:ヒスタミン-N-メチルトランスフェラーゼ;ALDH:アルデヒド脱水素酵素;MAO:モノアミンオキシダーゼ。(Comas-Basté et al., 2021)

ヒスタミン調節におけるDAOの役割

ヒスタミンは、胃酸分泌の調節、免疫応答の調整、神経伝達など、さまざまな生理的プロセスに関与する多機能な生物由来のアミンです。しかし、内因性の生成が増加するか、外因性の食事摂取によるヒスタミンの過剰蓄積は、発赤、頭痛、消化器系の障害、低血圧、アレルギー反応に似た他の症状を含むさまざまな病的症状を引き起こす可能性があります。

ヒスタミンは、免疫応答、癌の進行、細胞の生存など、人体のさまざまな生理的プロセスに関与しています。図2. ヒスタミンは複数の生理的プロセスに関与しています。(Moya-García et al., 2021)

DAOは、熟成チーズ、発酵製品、特定の魚、アルコール飲料など、さまざまなヒスタミンを多く含む食品に含まれる食事由来のヒスタミンの分解において重要な役割を果たします。腸内腔内でヒスタミンを代謝することにより、DAOは生化学的バリアとして機能し、ヒスタミンの吸収を制限し、その血漿濃度を生理的に安全な閾値内に維持します。この保護機能は、ヒスタミンのホメオスタシスにおける酵素の重要性を強調しています。

ヒスタミン不耐症

ヒスタミン不耐症は、ヒスタミンの蓄積と分解の間の不均衡を特徴とする状態であり、しばしばジアミンオキシダーゼの活性が不足していることが原因です。この不均衡は、体内のヒスタミンの蓄積を引き起こし、IgE媒介のアレルギー反応に似た症状を引き起こしますが、アレルゲン特異的な免疫応答は発生しません。ヒスタミン不耐症の症状は多様で、消化管、皮膚、呼吸器系、神経系など、体の複数のシステムに影響を与える可能性があります。

ヒスタミン不耐症の症状

ヒスタミン不耐症は、個人によって異なるさまざまな症状を引き起こす可能性があります。一般的な症状には以下が含まれます:

DAO欠乏の原因

DAO欠乏は先天的または後天的であり、ヒスタミン不耐症の主要な要因です。DAO欠乏の一般的な原因には以下が含まれます:

ヒスタミン不耐症の原因には、食事摂取、疾患、腸内細菌叢の乱れ、遺伝的多型、薬剤が含まれます。図3. ヒスタミン不耐症の原因。赤い滴はヒスタミンを表しています。ヒスタミン不耐症の病因は、主にDAOまたはHNMTの遺伝的多型、DAOまたはHNMT欠乏に関連する疾患、腸内細菌叢の乱れ、DAO活性を抑制する薬剤、ヒスタミンを多く含む食品、DAOを抑制する食品、ヒスタミン放出を促進する食品に関連しています。(Zhao et al., 2022)

ヒスタミン不耐症の管理

臨床実践において、食事管理はヒスタミン不耐症の治療における主要な介入です。通常、ヒスタミンを多く含む食品の摂取を減らすために低ヒスタミン食を採用し、症状を軽減します。一般的な高ヒスタミン食品には、ワイン、ビール、アボカド、ナッツ、牛乳、大豆、きのこ、チョコレート、甲殻類、卵、脂肪の多い魚、イチゴ、パイナップルが含まれます。一部の人々は、食事由来のヒスタミンを分解するのを助けるDAOサプリメントの恩恵を受けることもあります。

そのような場合、DAO補充—通常は豚または植物由来の源から得られた経口錠剤の形で—は、食事由来のヒスタミンの分解を促進することにより、症状の軽減に有望であることが示されています。しかし、補充の効果は個人によって異なり、標準化された治療プロトコルを確立するための臨床試験が進行中です。

診断と検査

ヒスタミン不耐症の診断は、その症状の非特異的な性質のために困難です。しかし、徹底的な医療歴と症状評価は、潜在的な引き金を特定し、状態を管理するために不可欠です。血清DAOレベルはDAO活性のいくつかの指標を提供することができますが、ヒスタミン不耐症の診断には常に信頼できるわけではありません。代わりに、症状の改善を観察するために低ヒスタミン食の試行がしばしば推奨されます。

推奨製品

要約すると、ジアミンオキシダーゼはヒスタミン代謝の重要な調節因子であり、特に消化管の文脈で関連性があります。ヒスタミンを効率的に分解する能力は、ヒスタミン関連の病理を防ぐ上で重要な要素です。DAO活性に影響を与える要因とその臨床的影響を理解することで、ヒスタミン不耐症などの状態のより正確な診断と管理が可能になります。

Creative Enzymesは、高品質のDAO酵素を含むプレミアム酵素および抽出物の幅広い選択肢を提供しています。お問い合わせやカスタムリクエストがあればご連絡ください!

References:

  1. Comas-Basté O, Sánchez-Pérez S, Veciana-Nogués MT, Latorre-Moratalla M, Del Carmen Vidal-Carou M. Concept, etiology and current diagnostic and treatment approaches of histamine intolerance: a review. In: Prime Archives in Nutrition. Vide Leaf, Hyderabad; 2021. doi:10.37247/PAN.1.2021.10
  2. Hrubisko M, Danis R, Huorka M, Wawruch M. Histamine intolerance—the more we know the less we know. A review. Nutrients. 2021;13(7):2228. doi:10.3390/nu13072228
  3. Huang H, Li Y, Liang J, Finkelman FD. Molecular regulation of histamine synthesis. Front Immunol. 2018;9:1392. doi:10.3389/fimmu.2018.01392
  4. Moya-García AA, Pino-Ángeles A, Sánchez-Jiménez F, Urdiales JL, Medina MÁ. Histamine, metabolic remodelling and angiogenesis: a systems level approach. Biomolecules. 2021;11(3):415. doi:10.3390/biom11030415
  5. Zhao Y, Zhang X, Jin H, Chen L, Ji J, Zhang Z. Histamine intolerance—a kind of pseudoallergic reaction. Biomolecules. 2022;12(3):454. doi:10.3390/biom12030454